Translate this page into:
Outcome of individuals with alcoholic cirrhosis hospitalized with first decompensation and their predictors
For correspondence: Dr Suprabhat Giri, Department of Gastroenterology, New OPD Building, Seth GS Medical College & KEM Hospital, Acharya Donde Marg, Parel, Mumbai 400 012, Maharashtra, India e-mail: supg19167@gmail.com
-
Received: ,
This article was originally published by Wolters Kluwer - Medknow and was migrated to Scientific Scholar after the change of Publisher.
Abstract
Background & objectives:
Alcohol is one of most common aetiologies of cirrhosis and decompensated cirrhosis is linked to higher morbidity and death rates. This study looked at the outcomes and mortality associated risk variables of individuals with alcoholic cirrhosis who had hospitalization with their first episode of decompensation.
Methods:
Individuals with alcoholic cirrhosis who were hospitalized with the first episode of decompensation [acute decompensation (AD) or acute-on-chronic liver failure (ACLF)] were included in the study and were prospectively followed up until death or 90 days, whichever was earlier.
Results:
Of the 227 study participants analyzed, 167 (73.56%) and 60 (26.43%) participants presented as AD and ACLF, respectively. In the ACLF group, the mortality rate at 90 days was higher than in the AD group (48.3 vs 32.3%, P=0.02). In the AD group, participants who initially presented with ascites as opposed to variceal haemorrhage had a greater mortality rate at 90 days (36.4 vs 17.1%, P=0.041). The chronic liver failure-consortium AD score and the lactate-free Asian Pacific Association for the study of the Liver-ACLF research consortium score best-predicted mortality in individuals with AD and ACLF.
Interpretation & Conclusions:
There is significant heterogeneity in the type of decompensation in individuals with alcoholic cirrhosis. We observed significantly high mortality rate among alcoholic participants hospitalized with initial decompensation; deaths occurring in more than one-third of study participants within 90 days.
Keywords
ACLF
alcoholic liver disease
ascites
decompensated cirrhosis
Variceal haemorrhage, ascites and hepatic encephalopathy (HE) are the common forms of decompensation in patients with advanced liver cirrhosis12. Patients with decompensated cirrhosis exhibit a wide range of clinical characteristics, each of which may have an impact on their prognosis. Hence, stratification is required to inform appropriate treatment. Decompensations that can happen after the onset of cirrhosis include acute decompensation (AD) and acute-on-chronic liver failure (ACLF). According to the Asian Pacific Association for the Study of the Liver (APASL), acute on-chronic liver failure (ACLF) is ‘an acute hepatic insult manifesting as jaundice (total bilirubin ≥5 mg/dl) and coagulopathy (INR ≥1.5), followed by ascites and/or encephalopathy within four week in a patient with chronic liver disease (CLD)’3. CLD affected individual when abruptly experiences a decline in their clinical status in the form of HE, jaundice, ascites, variceal bleeding or bacterial infection, this is referred to as ‘AD’34. According to the large-scale prospective CANONIC trial, mortality in cirrhotics presenting with decompensation was shown to increase with the existence and severity of organ failures (OFs) (58% with OF vs. 8% without). Patients with OF were classified as ACLF and experienced higher mortality within 28 days (34 vs. 5%) and 90 days (51 vs. 14%)4. This led to the development and validation of the chronic liver failure consortium OF (CLIF-C OF) diagnosis score and the CLIF consortium acute-on-chronic liver failure (CLIF-C ACLF) prognosis score in ACLF patients5. Although the CLIF-C OF is the most often used score for identifying ACLF, it may miss certain patients who are in the window of time before the onset of infection and OF, and intervention in this time frame could improve survival36. The use of APASL criteria for the diagnosis of ACLF hence facilitates the early identification and triage of these individuals.
ACLF and cirrhosis of the liver are both strongly associated with alcohol usage in India78. The frequency and incidence of alcohol-related cirrhosis of the liver and associated complications are on the rise due to the rising rates of excessive alcohol use. This contributes to significant morbidity and mortality with an increased rate of hospitalization7. Multiple studies have analyzed the predictors of early mortality in alcoholic patients presenting with alcoholic hepatitis or ACLF. However, studies on the prediction of early mortality are limited in patients with alcohol-related cirrhosis presenting with first decompensation. This will help with prognosis and response estimations, allowing for better treatment decisions. This study aimed to identify the clinical indicators, laboratory parameters and scores for mortality prediction among individuals admitted to the hospital with their first episode of alcohol-related decompensation.
Material & Methods
Study population: With permission from the Institutional Review Board, this study was carried out at Seth GS Medical college & KEM hospital, Mumbai, Maharashtra between July 2020 and August 2021. The inclusion and exclusion criteria were reviewed for all individuals with alcohol-related cirrhosis of the liver who presented to inpatient department for the first time with symptoms of decompensation (such as variceal haemorrhage, ascites or HE).
Definitions: Men with an alcohol intake of >210 g/wk and women with an intake of >140 g/wk were considered significant for alcohol consumption9. In addition to the typical clinical characteristics and radiological features (shrunken liver, dilated portal vein with periportal or other collaterals), endoscopic findings such as portal hypertensive gastropathy, oesophageal, gastric or ectopic varices were used to diagnose cirrhosis of the liver10. Based on the APASL criteria, ACLF was diagnosed. In individuals with CLD, AD was defined as the onset of ascites, HE, jaundice or a variceal haemorrhage within three months3. As per the definitions, a number of prognostic scores, including the Child-Pugh (CTP) score10 model for liver disease (MELD)11 MELD-Na12 Maddrey’s discriminant fraction (mDF)13 Age, serum Bilirubin, INR, and serum Creatinine (ABIC) score14 CLIF-AD score15 and CLIF-ACLF5 and Lactate-free AARC ACLF score (LaFAS)16 were calculated.
Exclusion criteria: Those with previous decompensation and duration of decompensation more than three months before the presentation were excluded. Individuals with secondary hepatitis caused by viruses, autoimmunity or the Budd–Chiari syndrome were also not included. Other exclusion criteria were individuals with hepatocellular carcinoma (HCC) and associated comorbidities (diabetes mellitus, ischaemic heart disease, alcoholic cardiomyopathy, chronic pancreatitis and chronic kidney disease, etc.).
Participant workup, management and follow up: The standard clinical procedures were performed on all study participants, including upper gastrointestinal endoscopy (EGD), abdominal ultrasonography (USG), testing for viral markers [immunoglobulin M (IgM) anti-HAV, IgM anti-hepatitis E virus, Hepatitis-B surface antigen and anti-hepatitis C virus], analyzing ascitic fluid and urine, conducting a complete blood count and testing for renal and liver function. Participants were treated in accordance with the accepted standards of care for decompensated alcoholic cirrhosis and ACLF3171819. The management strategy included alcohol abstinence, treatment of alcohol withdrawal, nutritional support (either oral or parenteral) with adequate calories (35-40 kcal/kg and 1-1.5 g/kg of proteins), vitamins and minerals, acid suppression for prevention of mucosal bleeding (oral or intravenous pantoprazole 40 mg/day), lactulose and/or rifaximin for HE, intravenous albumin (if indicated), somatostatin or terlipressin for variceal bleeding and noradrenaline or terlipressin for hepatorenal syndrome. Patients were screened for infections (urinary tract infections, pneumonia and bacterial peritonitis) and, if present, treated with appropriate antibiotics. The choice of empirical antibiotics was the third-generation cephalosporins or piperacillin-tazobactam in case of community-acquired infection and piperacillin-tazobactam or carbapenems in case of nosocomial infection18. Antibiotics were changed based on the culture reports or failure of clinical improvement. The follow-up duration was 90 days from the day of presentation. The study’s primary outcome was 90-day mortality, whereas the secondary outcome was 30-day mortality.
Data analysis: The continuous variables following normal distribution were represented as mean and standard deviation, whereas skewed data were represented with median and range. To analyze categorical data, statistics such as frequency and percentage were utilized. The Student’s t-test was used to evaluate the differences between group means. Depending on the sample size, Fischer’s exact test or the Chi-square test was used to compare categorical data. Identification of potential independent risk factors for mortality was carried out using a multivariate Cox regression model analysis. Kaplan–Meier analysis was used to evaluate the variations in survival rates between groups. For each predictive score, the area under the ROC curve (AUROC) was compared. For statistical analysis, the level of significance was set at <0.05. SPSS software (20.0, SPSS Inc., Chicago, IL, USA) was used for all statistical analyses.
Results
A total of 285 participants presented for the first-time decompensation over 20 months, out of which 43 individuals were excluded due to various associated conditions, as enlisted in Figure 1. Fifteen participants were lost to follow up. Final analysis included 227 participants (97.4% men, mean age with standard deviation 45.45±10.07 yr). Participants between the age of 35 and 50 yr constituted the majority of the population. Of the 227 participants, 167 (73.56%) presented as AD, whereas 60 (26.43%) were with ACLF. The various clinical manifestations at admission included ascites in 192 (84.58%) participants, jaundice in 158 (69.7%), HE in 79 (34.8%), variceal bleeding in 75 (33.03%), acute kidney injury in 67 (29.51%) and spontaneous bacterial peritonitis in 39 (17.18%) participants.

- Flowchart of participants selection and recruitment process.
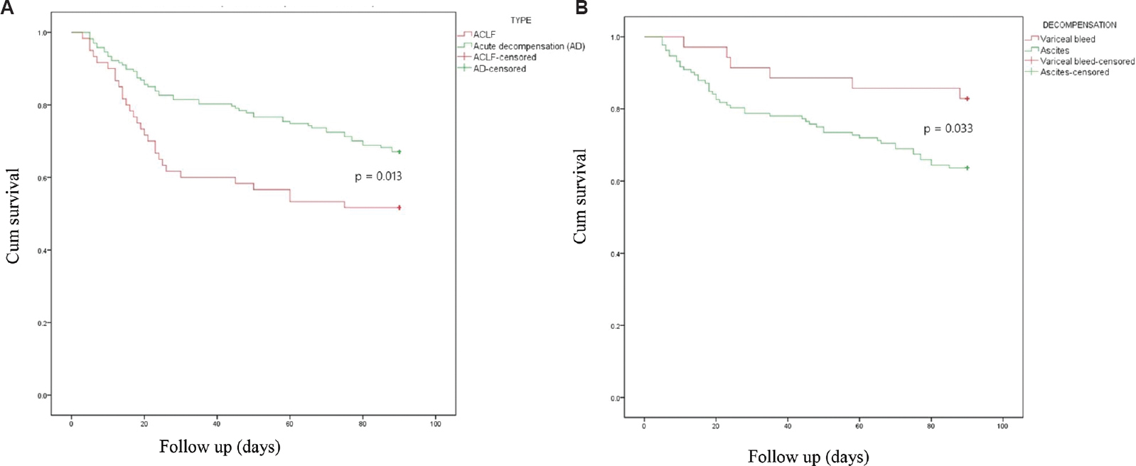
Acute decompensation (AD) versus ACLF: Table I shows that between individuals with AD and those with ACLF, the former had a lower mean age at presentation (P=0.005), a shorter period of alcohol use (P=0.001) and a greater frequency of jaundice (P=0.000) and ascites (P=0.000). Large oesophageal varices (P<0.001), variceal haemorrhage (P<0.001) and a higher grade of ascites (P<0.001) were also recorded in AD participants. Among the laboratory parameters, ACLF individuals had higher mean haemoglobin, total leucocyte count (TLC), total bilirubin, AST, prothrombin time-international normalized ratio (PT-INR), serum protein, serum albumin and AF protein. The ACLF group exhibited considerably higher values for the three main prognostic scores (CTP, MELD and MELD-Na). The mortality rates in the ACLF group were notably higher at 30 and 90 days (P=0.001 and P=0.043, respectively). Figure 2A shows that when comparing the two groups, those in the AD group had a substantially higher mean estimate of 90-day survival [76.74 days, 95% confidence interval (CI): 67.73] compared to the ACLF group (57.63 days, 95% CI: 48.6, 66.66 days; P=0.013).
| Parameters | Total (n=227) | AD (n=167) | ACLF (n=60) |
|---|---|---|---|
| Age (yr) | 45.45±10.07 | 46.49±10.41* | 42.57±8.5 |
| Male:female | 221:6 | 163:4 | 58:2 |
| Duration of alcohol intake (yr) | 16.64±8.39 | 17.75±8.31** | 13.55±7.9 |
| Ascites, n (%) | |||
| Grade 0 | 35 (15.4) | 35 (21)** | 0 |
| Grade 1 | 8 (3.5) | 2 (1.2)** | 6 (10) |
| Grade 2 | 89 (39.2) | 60 (35.9)** | 29 (48.3) |
| Grade 3 | 95 (41.9) | 70 (41.9)** | 25 (41.7) |
| Jaundice, n (%) | 158 (69.6) | 98 (58.7) | 60 (100)** |
| Variceal bleeding, n (%) | 75 (33) | 65 (38.9) | 10 (16.7)** |
| SBP, n (%) | 39 (17.2) | 32 (19.2) | 7 (11.7) |
| Other infections, n (%) | 39 (17.2) | 29 (17.4) | 10 (16.7) |
| Hepatic encephalopathy, n (%) | |||
| Grade 0 | 148 (65.2) | 113 (67.7) | 35 (58.3) |
| Grade 1 | 18 (7.9) | 12 (7.2) | 6 (10) |
| Grade 2 | 50 (22) | 32 (19.2) | 18 (30) |
| Grade 3 | 11 (4.8) | 10 (6) | 1 (1.7) |
| AKI, n (%) | 67 (29.5) | 47 (28.1) | 20 (33.3) |
| Hb (g %) | 8.43±2.04 | 8.23±2.14 | 8.98±1.63* |
| TLC (×103/mm3) | 11.01±6.74 | 9.41±5.74 | 15.48±7.31** |
| Platelet count (×105/mm3) | 1.43±0.68 | 1.36±0.66 | 1.64±0.7* |
| BUN (mg/dl) | 23.21±19.56 | 22.42±18.45 | 25.39±22.4 |
| Serum creatinine (mg/dl) | 1.69±1.48 | 1.66±1.59 | 1.76±1.15 |
| Serum sodium (mEq/dl) | 130.26±7.07 | 130.43±7.3 | 129.8±6.23 |
| Serum potassium (mEq/dl) | 4.08±0.79 | 4.13±0.85 | 3.98±0.72 |
| Total bilirubin (mg/dl) | 10.39±9.83 | 7.09±7.77 | 19.56±9.18** |
| AST (IU/l) | 118.87±86.33 | 112.61±94 | 136.3±57.18 |
| Alanine transaminase (IU/l) | 53.46±66.14 | 51.87±73.27 | 57.87±40.31 |
| PT-INR | 1.79±0.66 | 1.70±0.6 | 2.06±0.61** |
| Serum protein (mg/dl) | 6.48±0.7 | 6.41±0.72 | 6.7±0.58* |
| Serum albumin (mg/dl) | 2.95±0.49 | 2.9±0.51 | 3±0.45 |
| Ascitic fluid protein | 1.35±0.9 | 1.07±0.74 | 2.11±0.84** |
| Child-Pugh score | 10.37±2.07 | 9.96±2.14 | 11.52±1.28** |
| MELD score | 23.12±8.25 | 20.99±7.8 | 29.03±6.44** |
| MELD-Na | 26.79±7.69 | 25.03±7.69 | 31.70±5.19** |
| Portal vein thrombosis, n (%) | |||
| Absent | 197 (86.8) | 144 (86.2) | 53 (88.3)** |
| Partial | 18 (7.9) | 14 (8.4) | 3 (5) |
| Complete | 12 (5.3) | 9 (5.4) | 4 (6.7) |
| Oesophageal varices, n (%) | |||
| Absent | 16 (7) | 4 (2.4) | 12 (20)** |
| Oesophageal varices, n (%) | |||
| Small | 123 (54.2) | 90 (53.9) | 33 (55) |
| High risk | 88 (38.7) | 73 (43.7)** | 15 (25) |
| In-hospital mortality, n (%) | 43 (18.9) | 24 (14.3) | 19 (31.6) |
| 30-day mortality, n (%) | 55 (24.2) | 31 (18.56) | 24 (40)** |
| 90-day mortality, n (%) | 83 (37) | 54 (32.3) | 29 (48.3)* |
P *<0.05; **≤0.001. MELD, model for liver disease; AD, acute decompensation; ACLF, acute-on-chronic liver failure; BUN, blood urea nitrogen; PT-INR, prothrombin time-international normalized ratio; SBP, spontaneous bacterial peritonitis; TLC, total leucocyte count; Hb, haemoglobin; AKI, acute kidney injury; AST, aspartate transaminase

- Kaplan-–Meier survival analysis comparing (A) acute decompensation AD vs. acute-on-chronic liver failure (ACLF), and (B) first acute decompensation AD with ascites vs. variceal bleeding. ACLF, acute-on-chronic liver failure; AD, acute decompensation.
Decompensation with ascites versus variceal bleed: Supplementary Table I compares the differences in parameters between participants presenting with ascites and those with variceal haemorrhage. In comparison to participants with variceal haemorrhage, those with ascites had lower mean blood sodium (P=0.008), potassium (P=0.017) and albumin (P≤0.001), as well as a greater incidence of HE (P=0.001) and jaundice (P=0.036). A higher CTP score (P≤0.001), MELD-Na (P=0.004) and a higher 90-day death rate (36.4 vs. 17.1%, P=0.041) were all associated with ascites as the decompensating event (Fig. 2B). The outcomes of AD group are summarized by decompensating event type in Table II. Participants with ascites and associated HE with or without variceal bleeding had the highest incidence of mortality.
| Parameters | Presentation with ascites (n=132) | Presentation with variceal bleed (n=35) |
|---|---|---|
| Age (yr) | 46.12±10.04 | 47.89±11.79 |
| Male:female | 129:3 | 34:1 |
| Duration of alcohol intake (yr) | 17.52±8.3* | 18.63±8.43 |
| Jaundice, n (%) | 83 (62.9) * | 15 (42.9) |
| Hepatic encephalopathy, n (%) | ||
| Grade 0 | 82 (62.1) | 31 (88.6) ** |
| Grade 1 | 9 (6.8) | 3 (8.6) |
| Grade 2 | 31 (23.5) ** | 1 (2.9) |
| Grade 3 | 10 (7.6) | 0 |
| AKI, n (%) | 41 (31.1) | 6 (17.1) |
| Hb (g %) | 8.39±2.03 | 7.66±2.47 |
| TLC (×103/mm3) | 9.67±6.17 | 8.41±3.56 |
| Platelet count (×105/mm3) | 1.36±0.68 | 1.35±0.58 |
| BUN (mg/dl) | 21.57±18.74 | 25.63±17.19 |
| Serum creatinine (mg/dl) | 1.68±1.7 | 1.60±1.11 |
| Serum sodium (mEq/dl) | 129.62±7.09 | 133.49±7.46* |
| Serum potassium (mEq/dl) | 4.04±0.82 | 4.49±0.98* |
| Total bilirubin (mg/dl) | 7.59±7.95 | 5.20±6.84 |
| AST (IU/l) | 110.59±93.65 | 120.24±96.29 |
| Alanine transaminase (IU/l) | 49.86±71.78 | 59.46±79.29 |
| PT-INR | 1.74±0.65 | 1.52±0.66 |
| Serum protein (mg/dl) | 6.36±0.67 | 6.58±0.88 |
| Serum albumin (mg/dl) | 2.83±0.46 | 3.30±0.52** |
| Child-Pugh score | 10.68±1.55** | 7.26±1.91 |
| MELD score | 21.64±7.54 | 18.57±8.39 |
| MELD-Na | 26.05±7.05* | 21.17±8.86 |
| CLIF-C AD score | 57.88±11.3 | 53.83±11.39 |
| Portal vein thrombosis, n (%) | ||
| Absent | 112 (84.8) | 32 (91.4) |
| Partial | 11 (8.3) | 3 (8.6) |
| Complete | 9 (6.8) | 0 |
| Oesophageal varices, n (%) | ||
| Absent | 4 (3) | 0 |
| Small | 86 (65.2) | 0 |
| High risk | 42 (31.8) | 35 (100) ** |
| 30-day mortality | 28 (21.2) | 3 (8.6) |
| 90-day mortality | 48 (36.4)* | 6 (17.1) |
P *<0.05; **<0.001. BUN, blood urea nitrogen; CLIF-C AD score, CLIF consortium acute decompensation score; MELD, model for liver disease; PT-INR, prothrombin time-international normalized ratio; TLC, total leucocyte count; Hb, haemoglobin; AKI, acute kidney injury; AST, aspartate transaminase
| Events at presentation | 30-day mortality, n (%) | 90-day mortality, n (%) |
|---|---|---|
| Ascites only (n=66) | 10 (15.2) | 18 (27.3) |
| AVB only (n=31) | 2 (6.5) | 5 (16.1) |
| Ascites+AVB (n=16) | 2 (12.5) | 4 (25) |
| Ascites+HE (n=36) | 11 (30.6) | 19 (52.8) |
| AVB+HE (n=4) | 1 (25) | 1 (25) |
| Ascites+AVB+HE (n=14) | 5 (35.7) | 7 (50) |
AVB, acute variceal bleeding; HE, hepatic encephalopathy
Predictors of mortality in acute decompensation (AD): A comparison of clinical and laboratory data, as well as variations in prognostic scores, between AD patients who died and those who were still alive after 90 days are shown in Table III. AD group non-survivors tended to be older, had a longer duration of alcohol intake, had a greater percentage of HE and had a higher serum creatinine and PT-INR values. Serum sodium, serum protein and serum albumin were significantly lower in non-survivors. Child-Pugh, MELD, MELD-Na and CLIF-C AD scores were considerably higher in non-AD non-survivors.
| Parameters | AD with mortality at 90-days (n=54) | AD alive at 90-days (n=113) |
|---|---|---|
| Age (yr) | 49.44±9.86* | 45.08±10.41 |
| Male:female | 53:1 | 110:3 |
| Duration of alcohol intake (yr) | 20.57±8.52* | 16.41±7.9 |
| Ascites, n (%) | ||
| Grade 0 | 6 (11.1) | 29 (25.7) |
| Grade 1 | 0 | 2 (1.8) |
| Grade 2 | 20 (37) | 40 (35.4) |
| Grade 3 | 28 (51.9) | 42 (37.2) |
| Jaundice, n (%) | 34 (63) | 64 (56.6) |
| Variceal bleeding, n (%) | 17 (31.5) | 48 (42.5) |
| SBP, n (%) | 12 (22.2) | 20 (17.7) |
| Other infections, n (%) | 13 (24.1) | 16 (14.2) |
| Hepatic encephalopathy, n (%) | ||
| Grade 0 | 27 (50) | 86 (76.1) * |
| Grade 1 | 4 (7.4) | 8 (7.1) |
| Grade 2 | 18 (33.3) * | 14 (12.4) |
| Grade 3 | 5 (9.3) | 5 (4.4) |
| AKI, n (%) | 22 (40.7) * | 25 (22.1) |
| Hb (g %) | 8.72±1.73* | 8±2.29 |
| TLC (×103/mm3) | 11.8±6.84** | 8.26±4.75 |
| Platelet count (×105/mm3) | 1.35±0.65 | 1.36±0.67 |
| BUN (mg/dl) | 29.85±24.71* | 18.87±13.28 |
| Serum creatinine (mg/dl) | 2.29±2.43* | 1.36±0.81 |
| Serum sodium (mEq/dl) | 126.74±7.88 | 132.19±6.35** |
| Serum potassium (mEq/dl) | 4.16±0.92 | 4.13±0.85 |
| Total bilirubin (mg/dl) | 8.78±9.07 | 6.28±6.97 |
| AST (IU/l) | 114.69±90.25 | 11.62±96.11 |
| Alanine transaminase (IU/l) | 50.01±60.06 | 52.76±79.04 |
| PT-INR | 2.05±0.89** | 1.53±0.42 |
| Serum protein (mg/dl) | 6.23±0.8 | 6.5±0.66* |
| Serum albumin (mg/dl) | 2.76±0.49 | 3.01±0.49* |
| Ascitic fluid protein (mg/dl) | 1.20±0.68 | 1.01±0.77 |
| Child-Pugh score | 11.09±1.74** | 9.42±2.12 |
| MELD score | 25.63±8.56** | 18.78±6.34 |
| MELD-Na | 29.94±6.82** | 22.68±6.97 |
| CLIF-C AD score | 66.52±10.1** | 52.5±8.96 |
| Portal vein thrombosis, n (%) | ||
| Absent | 42 (77.8) | 102 (90.3) |
| Partial | 8 (14.8) | 6 (5.3) |
| Complete | 4 (7.4) | 5 (4.4) |
| Oesophageal varices, n (%) | ||
| Absent | 0 | 4 (3.5) |
| Oesophageal varices, n (%) | ||
| Small | 34 (63) | 56 (49.6) |
| High risk | 20 (37) | 53 (46.9) |
P *<0.05; **<0.001. CLIF-C AD score, CLIF consortium AD score
To analyze the factors associated with 90-day mortality, a multivariable model was developed (Table IV). The parameters included were absence of HE, TLC, serum creatinine, serum sodium and PT-INR. Except for HE, all these variables independently predicted 90-day mortality.
| Parameters | OR | 95% CI | |
|---|---|---|---|
| Lower | Upper | ||
| Absence of hepatic encephalopathy | 0.437 | 0.191 | 1.004 |
| Total leucocyte count | 1* | 1 | 1 |
| Serum creatinine | 1.737* | 1.174 | 2.57 |
| Serum sodium | 0.912* | 0.86 | 0.968 |
| PT-INR | 2.858* | 1.397 | 5.844 |
P *<0.05. OR, odds ratio; CI, confidence interval
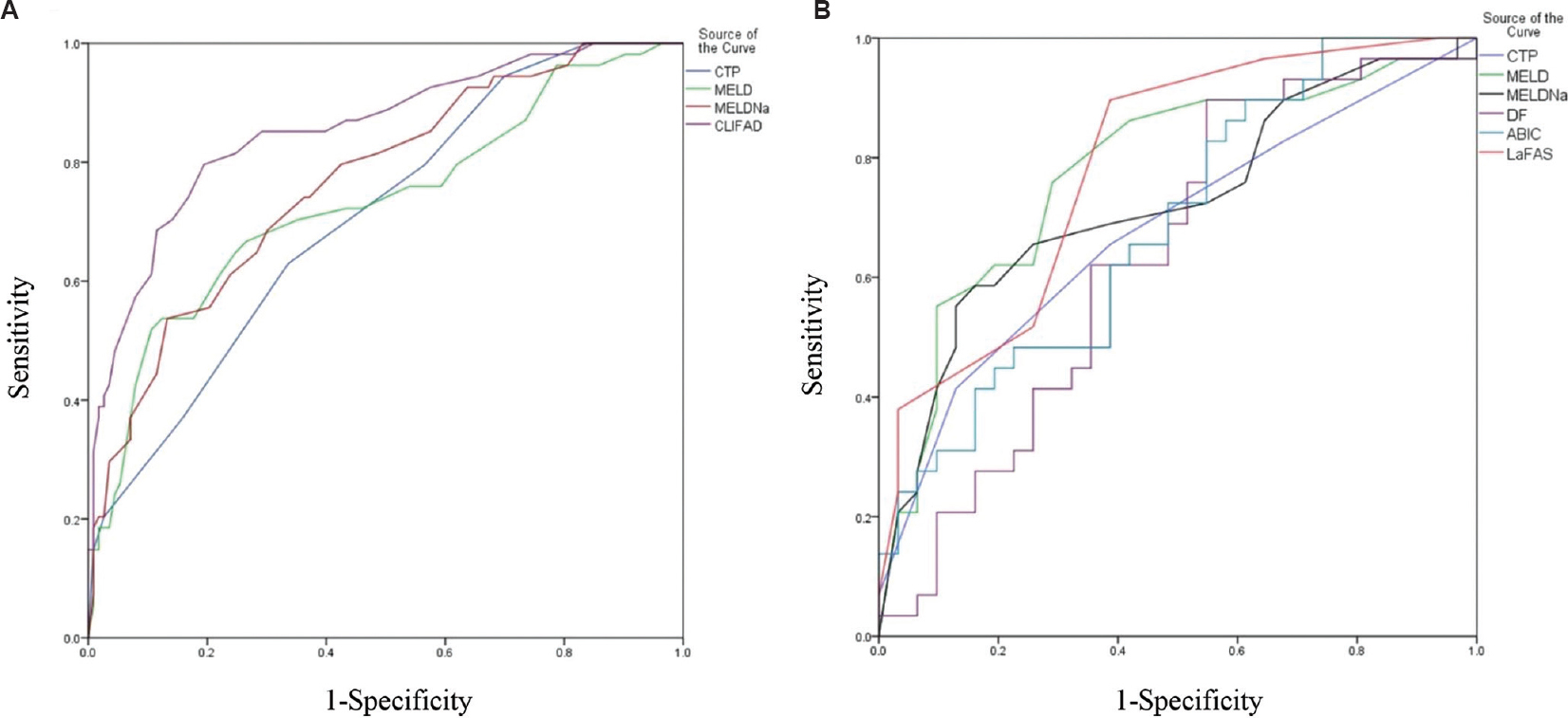
Comparison of prognostic scores in acute decompensation (AD): Figure 3A shows the AUROC of various scoring systems for mortality prediction of patients with alcoholic AD. Respective AUROCs were: CTP 0.707 (95% CI: 0.625, 0.788), MELD 0.731 (95% CI: 0.644, 0.818), MELD-Na 0.766 (95% CI: 0.69, 0.842) and CLIF-C AD 0.855 (95% CI: 0.792, 0.919). With a score of ≥71.5 being 99 per cent specific for mortality, the CLIF-C AD score exhibited the strongest discriminatory performance for 90-day mortality prediction in alcoholic patients with AD (P≤0.001).

- Receiver operating characteristic (ROC) curve showing performance of prognostic models for the prediction of mortality in alcoholic cirrhosis with (A) acute decompensation, and (B) acute-on-chronic liver failure (ACLF). ROC, receiver operating characteristics.
Predictors of mortality in ACLF: Clinical and laboratory data, as well as variations in the prognostic score, between individuals with ACLF who died and those who were still alive at 90 days, are compared in Supplementary Table II. Participants who died within 90 days exhibited decreased serum albumin levels in addition to higher levels of blood urea nitrogen, creatinine and bilirubin. Except for mDF, all other prognostic scores were considerably higher in individuals with mortality.
| Parameters | ACLF with 90-day mortality (n=29) | ACLF alive at 90 days (n=31) |
|---|---|---|
| Age (yr) | 42.52±8.45 | 42.61±8.68 |
| Male: female | 28:1 | 30:1 |
| Duration of alcohol intake (yr) | 12.79±7.19 | 14.26±8.57 |
| Variceal bleeding, n (%) | 3 (10.3) | 7 (22.6) |
| SBP, n (%) | 4 (13.8) | 3 (9.7) |
| Other infections, n (%) | 6 (20.7) | 4 (12.9) |
| Hepatic encephalopathy, n (%) | ||
| Grade 0 | 13 (44.8) | 22 (71) |
| Grade 1 | 4 (13.8) | 2 (6.5) |
| Grade 2 | 11 (37.9) | 7 (22.6) |
| Grade 3 | 1 (3.4) | 0 |
| AKI, n (%) | 13 (44.8) | 7 (22.6) |
| Hb (g %) | 9.20±1.68 | 8.77±1.57 |
| TLC (×103/mm3) | 16.49±7.93 | 14.53±6.68 |
| Platelet count (×105/mm3) | 1.57±0.56 | 1.71±0.82 |
| BUN (mg/dl) | 36.04±27.4** | 15.42±8.62 |
| Serum creatinine (mg/dl) | 2.33±1.16** | 1.23±0.85 |
| Serum sodium (mEq/dl) | 129.34±7.16 | 130.23±5.30 |
| Serum potassium (mEq/dl) | 3.95±0.75 | 4.01±0.71 |
| Total bilirubin (mg/dl) | 22.71±9.42* | 16.60±8.01 |
| AST (IU/l) | 145.66±68.55 | 127.55±43.37 |
| Alanine transaminase (IU/l) | 61.31±30.62 | 54.65±47.95 |
| PT-INR | 2.12±0.62 | 2.01±0.6 |
| Serum protein (mg/dl) | 6.64±0.58 | 6.75±0.59 |
| Serum albumin (mg/dl) | 2.88±0.42 | 3.11±0.46* |
| Ascitic fluid protein (mg/dl) | 2.10±0.82 | 2.13±0.87 |
| Child-Pugh score | 11.93±1.3* | 11.13±1.14 |
| MELD score | 32.10±6.42** | 26.16±5.05 |
| MELD-Na | 33.83±5.23* | 29.71±4.36 |
| mDF | 89.69±41.67 | 77.56±35.49 |
| ABIC score | 8.46±1.36* | 7.57±1.11 |
| LaFAS | 8.07±1.58** | 6.29±1.44 |
| Portal vein thrombosis, n (%) | ||
| Absent | 26 (89.7) | 27 (87.1) |
| Partial | 2 (6.9) | 2 (6.5) |
| Complete | 1 (3.4) | 2 (6.5) |
| Oesophageal varices, n (%) | ||
| Absent | 2 (6.9) | 10 (32.3) |
| Small | 19 (65.5) | 15 (48.4) |
| High risk | 8 (27.6) | 6 (19.4) |
P *<0.05; **<0.001. ACLF, acute-on-chronic liver failure; BUN, blood urea nitrogen; MELD, model for liver disease; mDF, Maddrey’s discriminant fraction; LaFAS, lactate-free APASL-ACLF research consortium ACLF score; PT-INR, prothrombin time-international normalized ratio; TLC, total leucocyte count; Hb, haemoglobin; AKI, acute kidney injury; AST, aspartate transaminase; SBP, spontaneous bacterial peritonitis; ABIC, Age, serum Bilirubin, INR, and serum Creatinine score
Multivariate modelling was used to examine risk variables associated with main outcome of 90-day mortality (Supplementary Table III). The parameters included were serum creatinine, total bilirubin and serum albumin. The only parameter identified to be an independent predictor of death at 90 days was serum creatinine (odds ratio 2.693, 95% CI: 1.259-5.759, P=0.011).
| Parameters | OR | 95% CI | |
|---|---|---|---|
| Lower | Upper | ||
| Serum creatinine | 2.693* | 1.259 | 5.759 |
| Total bilirubin | 1.024 | 0.951 | 1.104 |
| Serum albumin | 0.646 | 0.167 | 2.491 |
P *<0.05. OR, odds ratio; CI, confidence interval
Comparison of prognostic scores in ACLF: By using the AUROC analysis, various scoring systems were assessed for their ability to predict 90-day mortality in participants with alcoholic ACLF at baseline (Fig. 3B). The AUROCs were: DF 0.636 (95% CI: 0.494, 0.778), CTP 0.679 (95% CI: 0.542, 0.816), ABIC 0.685 (95% CI: 0.552, 0.818), MELD-Na 0.724 (95% CI: 0.593, 0.885), MELD 0.776 (95% CI: 0.654, 0.898) and LaFAS 0.788 (95% CI: 0.673, 0.902). LaFAS had the best discriminatory performance for 90-day mortality patients with alcoholic ACLF (P≤0.001).
Discussion
This prospective research looked at the clinical presentation, laboratory data and prognosis of individuals with alcohol-related cirrhosis with initial episodes of liver decompensation (AD and ACLF). The present study reported a significantly higher mortality at 30 days (40 vs. 18.6%) and 90 days (48.3 vs. 32.3%) in the ACLF group. The outcome of patients also varied with the type of AD, with ascites as decompensating event having a worse prognosis compared to GI bleeding without ascites.
Shah and Amarapurkar20 followed up 110 patients with cirrhosis who had experienced their first episode of decompensation up until mortality, liver transplants or one year, whichever was earlier. The most frequent cause of cirrhosis was alcohol (48%). In 80 per cent of cases, ascites was the primary contributor to decompensation and 28 per cent of patients met the criteria for ACLF according to APASL guidelines20. The mortality rates at 30 and 90 days in the ACLF group were 32 and 45 per cent, respectively. The results of the current investigation are consistent with this previous study. However, in the non-ACLF group, the overall mortality was 13 per cent compared to the three-month mortality of 32.33 per cent in our study20. This is explained by the fact that only 49.1 per cent of the population in the study by Shah and Amarapurkar required hospitalization and 25 per cent had USG-detected ascites. Hence, the requirement of hospitalization in a decompensated cirrhosis increased the risk of mortality.
In a study comparing the CLIF-C AD score to the CTP score, MELD and MELD-Na, the AUROC for predicting 90-day mortality was 0.7 (95% CI: 0.6, 088). The CLIF-C AD score had the strongest discriminating performance in our study and successfully predicted 90-day death in alcoholic patients with AD, with an AUROC of 0.855 (95% CI: 0.792, 0.919, P≤0.001)21.
Zipprich et al22 studied prognostic indicators of survival in decompensated cirrhotics. Stage 3 patients with ascites, irrespective of having varices, had one-year mortality rate of 21.9 per cent, while stage four patients with variceal haemorrhage, whether or not they also had ascites, had one-year mortality rate of 18.1 per cent. However, those with variceal bleeding as a decompensation event but without ascites had a one-year mortality rate of 14.1 per cent, compared to those with ascites with or without variceal bleeding who had a one-year mortality rate of 21.5 per cent (P=0.014). This finding is similar to our study with a reported 90-day mortality of 36.36 per cent in patients with first decompensation as ascites and 17.14 per cent in patients with variceal haemorrhage as the first presentation (P=0.041). Hence, in decompensated cirrhosis, variceal haemorrhage is a better predictor of clinical outcome than ascites.
In another North Indian study, 171 individuals with alcohol-related ACLF were followed up for one year and were found to have a high in-hospital mortality of 69.6 per cent and one-year mortality of 76.6 per cent compared to a 30-day mortality of 40 per cent in our study. The most accurate predictors of 30-day, 90-day and one-year mortality were APACHE II and CLIF-C ACLF23. This difference could be due to usage of varying definitions of ACLF. We employed the APASL criteria to classify patients rather than the CANONIC criteria used in the aforementioned study. According to a retrospective study conducted in China, the mortality rate for patients with ACLF at enrolment using only the APASL criteria was 13.1 per cent, whereas the mortality rate for patients with ACLF using both the APASL and CANONIC criteria was 59.3 per cent24. Therefore, it is necessary to create universal diagnostic criteria for ACLF, which would aid in early detection and care of individuals who are at risk.
The APASL-ACLF Research Consortium (AARC)-ACLF score has been demonstrated to be more accurate in predicting the course of patients with ACLF when compared to the MELD and CLIF-SOFA scores25. However, serum lactate is not routinely available or done at many centres. Hence, a modification of this score was proposed with the omission of lactate value, known as lactate-free AARC ACLF score. In patients with alcoholic ACLF, Chauhan et al16 found that LaFAS was the strongest predictor of death within the first three months after hospitalization. We also found that LaFAS had the best AUROC for predicting 90-day mortality in ACLF, which is consistent with previous research. Therefore, more validation of this score in larger research groups is required.
This study is the first to evaluate the CLIF-C AD score’s use in identifying patients in India experiencing AD as a result of alcohol abuse. Furthermore, compared to previous studies focussing mostly on scores, we analyzed the outcome based on clinical phenotype, which would help explain the disease prognosis at presentation. The major limitation is the inclusion of only admitted patients. Patients with mild AD are usually managed on outpatient basis, and non-inclusion of these patients creates a selection bias as these patients have a lower risk of mortality. The short duration of follow-up is another limitation. The long-term prognosis of these individuals may have been evaluated more accurately with more time spent following patients. Third, although the aetiology for decompensation was presumed to be alcohol in all the patients, as all the patients had a recent history of alcohol intake and we excluded other causes such as viral infections, drug-induced liver injury, and HCC, 12 patients had an associated complete portal vein thrombosis (PVT), which is a known precipitant for AD as well as ACLF. Hence, in these 12 cases, pinpointing the reason for decompensation (alcohol vs. PVT) was difficult. Finally, we could not evaluate for associated underlying non-alcoholic steatohepatitis and autoimmune liver diseases (by performing a liver biopsy), which could have contributed to the decompensation and mortality.
Overall, the findings of this study suggest that individuals with ACLF had worse prognosis than those with AD and decompensation with ascites had a worse prognosis than that in decompensation with variceal bleeding. Better patient categorization requires worldwide consensus on ACLF diagnostic criteria. In alcoholic individuals with AD and ACLF, respectively, the CLIF-AD score and LaFAS were the strongest predictors of mortality at admission.
Financial support and sponsorship
None.
Conflicts of interest
None.
References
- Acute-on-chronic liver failure: Consensus recommendations of the Asian Pacific association for the study of the liver (APASL): An update. Hepatol Int. 2019;13:353-90.
- [Google Scholar]
- CANONIC study investigators of the EASL-CLIF consortium. Acute-on-chronic liver failure is a distinct syndrome that develops in patients with acute decompensation of cirrhosis. Gastroenterology. 2013;144:1426-37.:e1-37.
- [Google Scholar]
- Development and validation of a prognostic score to predict mortality in patients with acute-on-chronic liver failure. J Hepatol. 2014;61:1038-47.
- [Google Scholar]
- Early features of acute-on-chronic alcoholic liver failure: A prospective cohort study. Gut. 2010;59:1561-9.
- [Google Scholar]
- Etiology and mode of presentation of chronic liver diseases in India: A multi centric study. PLoS One. 2017;12:e0187033.
- [Google Scholar]
- Acute-on-chronic liver failure in India: The Indian national association for study of the liver consortium experience. J Gastroenterol Hepatol. 2016;31:1742-9.
- [Google Scholar]
- A model to predict poor survival in patients undergoing transjugular intrahepatic portosystemic shunts. Hepatology. 2000;31:864-71.
- [Google Scholar]
- Evidence-based incorporation of serum sodium concentration into MELD. Gastroenterology. 2006;130:1652-60.
- [Google Scholar]
- A randomized trial of prednisolone in patients with severe alcoholic hepatitis. N Engl J Med. 1992;326:507-12.
- [Google Scholar]
- A new scoring system for prognostic stratification of patients with alcoholic hepatitis. Am J Gastroenterol. 2008;103:2747-56.
- [Google Scholar]
- The CLIF Consortium Acute Decompensation score (CLIF-C ADs) for prognosis of hospitalised cirrhotic patients without acute-on-chronic liver failure. J Hepatol. 2015;62:831-40.
- [Google Scholar]
- Lactate-free AARC ACLF Score (LaFAS) –A simple userfriendly score is the best prognostic marker for patients with alcohol induced ACLF in Western Indian population in a nontransplant resource-limited setting. J Assoc Physicians India. 2020;68:34-8.
- [Google Scholar]
- EASL clinical practice guidelines: Management of alcohol-related liver disease. J Hepatol. 2018;69:154-81.
- [Google Scholar]
- EASL clinical practice guidelines for the management of patients with decompensated cirrhosis. J Hepatol. 2018;69:406-60.
- [Google Scholar]
- Diagnosis and treatment of alcohol-associated liver diseases:2019 practice guidance from the American association for the study of liver diseases. Hepatology. 2020;71:306-33.
- [Google Scholar]
- Natural history of cirrhosis of liver after first decompensation: A prospective study in India. J Clin Exp Hepatol. 2018;8:50-7.
- [Google Scholar]
- Chronic liver failure-consortium acute-on-chronic liver failure and acute decompensation scores predict mortality in Brazilian cirrhotic patients. World J Gastroenterol. 2017;23:5237-45.
- [Google Scholar]
- Prognostic indicators of survival in patients with compensated and decompensated cirrhosis. Liver Int. 2012;32:1407-14.
- [Google Scholar]
- Alcohol-related acute-on-chronic liver failure-comparison of various prognostic scores in predicting outcome. Indian J Gastroenterol. 2018;37:50-7.
- [Google Scholar]
- Comparison of current diagnostic criteria for acute-on-chronic liver failure. PLoS One. 2015;10:e0122158.
- [Google Scholar]
- Liver failure determines the outcome in patients of acute-on-chronic liver failure (ACLF): Comparison of APASL ACLF research consortium (AARC) and CLIF-SOFA models. Hepatol Int. 2017;11:461-71.
- [Google Scholar]
